Abstract
Precarity is often evoked in discussions about the rise of populism, but there is a dearth of systematic operationalization of the sociological concept of insecurity in populist research. This study fills this gap by theorizing about and empirically linking work-related and financial insecurity to populist outlook and voting in ten European countries. We propose a theoretical framework that links insecurity, respectively, to populist attitudes (symbolic link) and to populist voting (instrumental link). Our empirical investigation of 10 European countries finds a positive association between work and financial insecurity and populist outlook (people-centrism and anti-elitism, in particular) in all our case study countries. Precarity explains votes for Radical Populist Right and Radical Populist Left in all cases except populist right voting in Poland, Hungary, and Italy. Among the dimensions of precarity, financial insecurity and insecurity of work conditions show a particularly significant association with populist attitudes and voting, while the insecurity of tenure provides mixed results. These results suggest that insecurity may have an effect on the diffusion of populist attitudes and populist voting. It also indicates that populist outlook and voting should be investigated by not simply examining the insecurity of tenure but also using measures of insecurity that capture the conditions of work and financial insecurity of individuals.
Introduction
Seeking to understand the rising support for populist political parties in Europe has led scholars to mobilize the sociological concept of precarity (Gidron and Hall, 2017; Azmanova, 2020). Yet, despite the attention paid to this ‘new politics of insecurity’ on both sides of the Atlantic (see Rosenbluth and Weir, 2021), only limited attempts have been made to transpose the various measures of insecurity and precarity developed in sociology onto populist voting (e.g. Gidron and Hall, 2017; Antonucci et al., 2021). Not only have measures of subjective insecurity been under-used in voting research (Marx and Picot, 2020), the frequently evoked sociological concepts of ‘precarity’ and insecurity have been transposed onto the investigation of political attitudes and voting in a limited way (i.e. in relation to the type and length of the work contract).
This article conducts a large-N comparative analysis of insecurity, populist outlook, and voting across 10 countries in Europe: Austria, France, Germany, Hungary, Italy, the Netherlands, Poland, Spain, Romania, and Sweden. Using online panels weighted to improve the representativeness of our sample vis-à-vis the total voting-eligible population, we were able to test innovative measures of precarity and assess feelings of work-related insecurity among workers and financial insecurity in the general population. The first two dimensions of precarity relate to work, namely, insecurity in the tenure of one’s contract (precarity of tenure) and insecurity in working conditions (precarity at work). It seems important to introduce this latter dimension into the political realm because the literature on the sociology of work in Europe indicates that, while there has not been a widespread diffusion of temporary contracts, there are pernicious forms of insecurity emerging from the declining quality of work (issues of autonomy, work–life balance, job intensification, etc.) (see Gallie, 2017; Lopes, Lagoa and Calapez, 2014; Gallie et al., 2017). The third dimension, financial precarity, merits attention for two reasons: First, it is an important component of economic insecurity that, being distinct from its work-related components, has different political effects. Second, financial precarity can be experienced by those out of work; we can, thus, use the indicators of financial precarity to observe precarity in cases where work-related insecurity cannot be measured.
Our study further advances research into the relationship between precarity and populism in two regards. First, it analyses subjective insecurity in relation to the populist outlook, namely attitudes towards the elite and the beliefs embedded within populist ideologies (as per the ideational approach to populism). This allows us to truly compare our case study countries despite the variation in the political availability of populist options in our 10 countries. Second, it offers a large-N analysis of the relationship between precarity (both work related and financial) and populism voting for the Radical Populist Right (RPR) and the Radical Populist Left (RPL) to find potentially generalizable patterns.
Our findings show a general positive association between voters’ work-related and financial precarity, and their populist outlook. This association translates into a positive relationship between precarity and voting for populist parties in all but a few countries where populist parties were in power. We also found that not all dimensions of precarity have the same association with populist outlook and voting. Populist voting has significant associations with financial precarity and precarity in working conditions (our broad measures of precarity), but we found only mixed evidence of the effects of the precarity of tenure although it is the most common, albeit limited, operationalization of insecurity in the literature on voting.
The article is structured as follows. First, we discuss the limitations of investigating the link between socio-economic insecurity and populist voting in previous studies. Second, we present a framework linking work and financial precarity to both populist outlook and populist voting. Third, we discuss our methodology, our hypotheses of how insecurity is linked to voting, and our data from the European Voter Electoral Study (EVES). The main findings of our study are then presented, and the cross-national results are discussed in relation to the type of party and the dimension of precarity. The conclusion positions our findings in the current literature, highlighting how both the enlarged conceptualization of insecurity and the exploration of populist voting and populist outlook contribute to our understanding of populism.
Socio-economic insecurity, precarity, and populist voting
Earlier socio-economic explanations of populism investigated the consequences of economic crises and globalization, theorizing that they breed resentment towards the elite and increase the appeal of populists by bringing about material hardships, unemployment, and/or decline in the socio-economic status of significant portions of the labour force (see Margalit, 2019). However, populist voting does not seem to be associated with socio-economic disadvantage according to the number of people unemployed or receiving welfare benefits (Rooduijn, 2018; Norris and Inglehart, 2019). Rather, the most recent studies have shown that the risk of material hardships and unemployment, not the presence of these conditions per se, are better predictors of populist voting than the classic measures of disadvantage (Cohen, 2017; Rovny and Rovny, 2017; Mutz, 2018; Abou-Chadi and Kurer, 2021). Thus, feelings of insecurity explain populist support more successfully than the measures of disadvantage traditionally used to define those ‘left behind’ (Antonucci et al., 2017, 2021; Kurer and Palier, 2019).
Expanding on this, we have operationalized the sociological notion of precarity that was popularized by Standing (2011) and is now widely used in sociological research (Parfitt and Barnes, 2020) to examine the potential effect of precarity on populist voting, where precarity refers to ‘a generalized set of social conditions and an associated sense of insecurity’ (Arnold and Bongiovi, 2013: 6). While this concept originates in the field of the sociology of work, its relevance and implications are far broader given the intersections between work and financial insecurity that individuals face in current times (Parfitt and Barnes, 2020).
This exploration of precarity broadens our operationalization of insecurity in relation to voting beyond the present understanding. For example, the ‘dualization of the labour market’ theory, which postulates different voting behaviours for labour market ‘outsiders’ (i.e. unemployed people and individuals with temporary/part-time contracts) and the majority of labour market ‘insiders’ (i.e., individuals in full-time permanent work), examines work insecurity in purely objective terms and with a focus on the tenure or type of contract1 (Emmenegger, Marx and Schraff, 2015; Rovny and Rovny, 2017; Schwander, 2019).
This conceptualization of insecurity focuses exclusively on labour market outsiders (unemployed individuals or those working with precarious contracts), a small minority of the electorate. Work-related insecurity is, however, a much broader concept in the sociology of work that reflects an understanding of rising work intensity and declining quality of work that individuals are facing—in addition to the risk of losing their job (see Gallie et al., 2017; Kalleberg, 2018). In fact, the literature on precarity and on the sociology of work offer two important contributions to the debate linking insecurity and populism occurring in political sociology. First, they broaden the concept of precarity to include dimensions far beyond insecurity in the tenure of contract, including adequate income from work (what Standing calls labour market security, see Standing, 2011: 10), autonomy (Standing, 2011: 130), work–life balance (Standing, 2011: 143), and other dimensions of work quality such as upward mobility. These are not just aspects of the quality of work (Leschke and Watt, 2014), but have been consistently included in the literature on insecurity (see Kalleberg, 2018).
Second, another relevant contribution from the sociology of work literature is that, despite the pessimistic views on the diffusion of short-term and insecure contracts, there has not been a widespread diffusion of precarious tenure contracts in Europe since the 2008 crisis (Gallie, 2017) and the most relevant trend to note relates to what Gallie et al. (2017) call the hidden face of job insecurity, namely, the current fears that workers face about changes to the way they work, such as losing their autonomy. Accordingly, comparative studies in this field report a decline in various dimensions of job quality in several European countries, including work–life balance, autonomy, and intensification (Lopes, Lagoa and Calapez, 2014; Gallie, 2017).
Our conceptualization of precarity substantially expands the prevalent understanding of insecurity in studies on its effects on voting, which is currently limited to the precarity of tenure. For example, a recent paper by Sipma, Lubbers and Spierings (2023) examines objective and subjective insecurity among working-class voters but only in relation to the risk of unemployment. While Antonucci et al. (2021) made an initial attempt to transpose those indicators onto the exploration of populist voting, this study was limited to the Netherlands and France and did not consider precarity outside work. In contrast, this concept of precarity extends beyond work-related insecurity and has a financial dimension. In particular, Standing’s ‘precarity trap’ (2011: 48) refers explicitly to the combined effect of work and financial insecurity to define the condition of precarity and discusses how work-related precarity has a knock-on effect on individuals’ financial security. The combined effect of work and financial precarity is one of the emerging themes in precarity studies (Parfitt and Barnes, 2020), which incorporates measures of financial precarity into the discussion of work precarity (see Barnes and Weller, 2020). By looking at financial insecurity, we are also able to investigate the political effects of precarity among those who are not at work (e.g. unpaid workers, self-employed individuals, and students) and are generally excluded from the classic, work-focused measures of insecurity in studies on voting. Thus, this expanded understanding of precarity allows us to consider the political effects of the pressure on the financial lives of Europeans, particularly in relation to lower-middle-income groups and ordinary families (Jenkins et al., 2013; Whelan, Nolan and Maitre, 2017) that are referred to behind the recent populist momentum (Antonucci et al., 2017; Kurer and Palier, 2019).
A framework for understanding the link between precarity and populist voting in Europe
In our analysis, we separate populist outlook from the populist vote (see an outline of our framework in Figure 1). Following the ideational definition of populism, we interpret individual-level populism as a set of populist attitudes, as a particular political mindset, which, when activated, manifests as electoral support for populist parties and politicians (e.g., Hawkins, Rovira Kaltwasser and Andreadis, 2020). The ideational definition of populism conceptualizes populism in minimal terms, as a unique set of ideas based on the antagonistic relationship between ‘the people’ and ‘the elites’ whereby populists seek to restore popular sovereignty (or the ‘will of the people’) for both parties and voters (Mudde, 2004). On the voter level, ideational scholars understand populism as a set of attitudes and ideas among ordinary citizens that are activated by external political, cultural, or socio-economic factors (Castanho Silva et al., 2020). Voters are viewed as having a populist outlook if they endorse the following ideas (Castanho Silva et al., 2020): a Manichaean outlook on society (namely a dualist view of Good and Evil); a homogenous view of ‘the people’ as virtuous; and a negative view of ‘the elite’ as a uniformly corrupt and self-serving group.

The conceptual framework linking precarity and populism in Europe
Building on Gidron and Hall (2017), our theoretical framework postulates a symbolic and instrumental link between work-related (precarity of tenure and precarity at work), financial insecurity (broadly referred to as ‘precarity’), and populism. If, as for Gidron and Hall (2017), this is driven by a perceived position of the individual relative to others, we suggest that insecurity, conceptualized as an individually perceived financial and work-related condition, is the main driver. Gidron and Hall refer to a symbolic process that pushes voters towards populist options in the presence of heightened insecurity. We build on this idea and postulate that more insecure voters are going to be drawn to populist views because populist views enhance the representation of the individual by offering a narrative in which ‘the people‘, in contrast to the secure elites, are affected by shared experiences of insecurity. Populist views emphasize the will and value of the people (people-centrism); offer a symbolic way out through common antipathy towards the elites (anti-elitism); and emphasize the dualization of reality (a Manichaean outlook). As explained in the previous section, we understand that work-related and financial precarity have similar but independent effects and, for voters who work, generate a self-reinforcing effect between the two dimensions of precarity (Barnes and Weller, 2020; Parfitt and Barnes, 2020). Insecurity then becomes a common factor among ‘the people’, and populism is perceived, symbolically and instrumentally, as a solution to close the gap between the secure elite and the insecure people. The link between precarity and voting is not just symbolic, there is also an instrumental process linking insecurity to populism and, in this case, to voting specifically. Andreadis et al. (2018: 238) argue that ‘populist attitudes will not translate into political behaviour without activation’. In our framework, we postulate that populist ideas can be activated into voting through an instrumental pull-in process according to which the voter perceives RPR and RPL agendas as responding to their subjective work and financial insecurity (see also Antonucci et al., 2021).
Indeed, the agendas of RPR and RPL parties in Europe both contain elements that address insecurity and may, therefore, potentially activate populist attitudes and influence voting behaviour. RPR parties propose a chauvinistic labour market protection for native citizens (see Ivaldi, 2015; Harteveld, 2016), while RPL parties typically have an expansionary labour market protection agenda (Bale and Dunphy, 2011; March, 2011; March and Rommerskirchen, 2015). This narrative also seems to hold in Eastern Europe, where ‘the ability of right-wing populists to present themselves as champions of the welfare state has contributed to their success’ (Berman and Snegovaya, 2019: 14). The relationship between precarity, populist outlook, and voting is also mediated by strategic and institutional contexts. For example, there is evidence that the support populist parties receive from voters with anti-elite attitudes is conditional on their incumbency status: Voters tend to oppose populist parties in power (Hieda, Zenkyo and Nishikawa, 2021; Jungkunz, Fahey and Hino, 2021). Furthermore, more permissive electoral systems make it easier for populist parties to be successful and for voters to vote for them (Golder, 2003).
In summary, the examination of the individual forms of insecurity experienced by voters could be a significant exploratory factor (using Margalit, 2019) for the prevalence of both populist attitudes and voting behaviours.
Methodology
Hypotheses
Based on the framework illustrated above, we test two hypotheses regarding the relationship between precarity (as a subjective feeling of insecurity) and populism:
Hypothesis 1: People experiencing work and/or financial precarity are more likely to have populist attitudes.
Hypothesis 2: People experiencing work and/or financial precarity are more likely to vote for RPR and RPL parties.
We hypothesize a double precarity effect for workers who replied to both sets of questions and a precarity effect on voting for those who are not at work and only replied to the financial precarity questions.
Data
To investigate the relationship between insecurity and voter support for populism, we use survey data produced by the EVES (Krouwel, Kutiyski and Thomeczek, 2019) with over 75,000 responses in total and over 60,000 complete responses in Austria, France, Germany, Hungary, Italy, Poland, Romania, Spain, and Sweden.2 A breakdown of the responses by country is included in Supplementary Appendix. There are a minimum of 2,500 respondents for each country, including at least 1,000 employed people per country. This survey was administered in 2018 before the EU parliamentary elections and has already been used in published research on populism (Imhoff et al., 2022). Our cases cover Eastern, Western, Northern, and Southern Europe, various welfare state models (with the notable exception of a Liberal welfare model, such as the United Kingdom), and various populist parties (left and right, in opposition and in power). The survey was administered in multiple languages, and the core questions were carefully translated by experts in all national sub-surveys.
The participants of the EVES were primarily recruited among users of Voting Advice Applications, with a small share of respondents recruited on Facebook. Online panels such as this are increasingly being used in studies on representation and political behaviour (Garzia and Marschall, 2012; van der Linden and Vowles, 2017). In addition to producing a considerable volume of data at a low cost, online panels reach more potential radical and populist voters than classic surveys (Hooghe and Tepee, 2007; Wall et al., 2009). Data generated online also facilitate the application of new methods that can be more effective than standard government tracking polls in predicting electoral results (e.g. Linzer, 2013; Wang et al., 2015).
However, it is important to stress that the raw VAA-recruited data may be non-representative of the general population as such data are affected by a twofold self-selection bias (Pianzola, 2014). The respondents must first opt into VAA usage and then opt into follow-up studies. The unweighted EVES data overrepresent males, individuals with higher education, and those currently employed (note that these are also key characteristics for people interested in politics who turn out to vote).3 To address this issue, we used raking weights based on the respondents’ age group, education, sex, and region and the distributions of these variables among the adult population of the countries under investigation. We used the recalled vote choice as an additional criterion for generating raking weights for the analysis of vote choices. The aggregates produced using these weights are significantly closer to the benchmark proportions (see Supplementary Figures D.1 and D.2 in Supplementary Appendix), and we are confident that this adjustment has increased the internal validity and generalizability of our estimates. With such adjustments, analyses of the relationships between variables using opt-in online panels have been shown to produce estimates that are sufficiently close to those obtained with probability samples, particularly when it comes to the relationships between variables (Bytzek and Bieber, 2016; Dassonneville et al., 2020; Pasek, 2016; Stephenson and Crête, 2011). Furthermore, the valid use of VAA-generated survey data is being increasingly recognized in the literature (see Toshkov and Romeijn, 2021) and a growing number of studies are using this type of data to test new measures of populist voting in sociology specifically (see Antonucci et al., 2017, 2021).
Measuring populism
Our dependent variables include both the measures of respondents’ populist outlook and their support for populist parties as measured through voter intention (note that we repeated our analysis using vote propensity (PTV) scores instead of voting intention and our findings were broadly confirmed). Our operationalization of populism is based on Mudde’s (2004) ideational definition: a party is considered populist if it portrays society as ultimately split into two antagonistic and heterogenous groups, the people and the elite, and argues that politics should follow the general will of the people. Respondents are treated as having a populist outlook to the extent to which their political attitudes and views agree with these ideas.
Accordingly, we measured three dimensions of each respondent’s populist outlook: people-centrism, anti-elitism, and ‘Manichaean outlook’ and computed a combined populist outlook score. People-centrism is defined as the degree to which the respondent views the will of the people as the primary source of authority for policymaking. Anti-elitism is a negative attitude towards political and other elites. A Manichaean outlook refers to the tendency to perceive politics as a conflict between two antagonistic groups.
These measures were obtained by conducting confirmatory factor analyses using the questions identified by Castanho Silva et al. (2020), who validated the scale in several countries. The questions are listed in Table 1 and the standardized loadings in Section B of Supplementary Appendix. The geometric mean of these three measures is used to identify the respondents who carry all three types of attitudes, that is, those who view politics as a conflict in which the elites are on the opposite side to the people (in using this metric, we are following Mohrenberg, Huber and Freyburg, 2021). This quantity takes on the value of zero if any of the components is zero.
| Measure . | Items/questions . |
|---|---|
| People-centrism | Agree/disagree: Politicians should always listen closely to the problems of the people. Agree/disagree: Politicians do not have to spend time among ordinary people to do a good job. Agree/disagree: The will of the people should be the highest principle in this country’s politics. |
| Anti-elitism | Agree/disagree: The government is pretty much run by a few big interests looking out for themselves. Agree/disagree: Government officials use their power to try to improve people’s lives. Agree/disagree: Quite a few of the people running the government are crooked. |
| Manichean outlook | Agree/disagree: You can tell if a person is good or bad if you know their politics. Agree/disagree: The people I disagree with politically are not evil. Agree/disagree: The people I disagree with politically are just misinformed. |
| Measure . | Items/questions . |
|---|---|
| People-centrism | Agree/disagree: Politicians should always listen closely to the problems of the people. Agree/disagree: Politicians do not have to spend time among ordinary people to do a good job. Agree/disagree: The will of the people should be the highest principle in this country’s politics. |
| Anti-elitism | Agree/disagree: The government is pretty much run by a few big interests looking out for themselves. Agree/disagree: Government officials use their power to try to improve people’s lives. Agree/disagree: Quite a few of the people running the government are crooked. |
| Manichean outlook | Agree/disagree: You can tell if a person is good or bad if you know their politics. Agree/disagree: The people I disagree with politically are not evil. Agree/disagree: The people I disagree with politically are just misinformed. |
| Measure . | Items/questions . |
|---|---|
| People-centrism | Agree/disagree: Politicians should always listen closely to the problems of the people. Agree/disagree: Politicians do not have to spend time among ordinary people to do a good job. Agree/disagree: The will of the people should be the highest principle in this country’s politics. |
| Anti-elitism | Agree/disagree: The government is pretty much run by a few big interests looking out for themselves. Agree/disagree: Government officials use their power to try to improve people’s lives. Agree/disagree: Quite a few of the people running the government are crooked. |
| Manichean outlook | Agree/disagree: You can tell if a person is good or bad if you know their politics. Agree/disagree: The people I disagree with politically are not evil. Agree/disagree: The people I disagree with politically are just misinformed. |
| Measure . | Items/questions . |
|---|---|
| People-centrism | Agree/disagree: Politicians should always listen closely to the problems of the people. Agree/disagree: Politicians do not have to spend time among ordinary people to do a good job. Agree/disagree: The will of the people should be the highest principle in this country’s politics. |
| Anti-elitism | Agree/disagree: The government is pretty much run by a few big interests looking out for themselves. Agree/disagree: Government officials use their power to try to improve people’s lives. Agree/disagree: Quite a few of the people running the government are crooked. |
| Manichean outlook | Agree/disagree: You can tell if a person is good or bad if you know their politics. Agree/disagree: The people I disagree with politically are not evil. Agree/disagree: The people I disagree with politically are just misinformed. |
As we classify parties into populist and non-populist, we use the PopuList (Rooduijn et al., 2020). This project applies the ideational definition to list all populist parties, from 31 European countries, that have been represented in parliament or have won at least 2 per cent of the votes in an election since 1989. Conversely, parties that are not included in the PopuList but have won more than 2 percent of the votes or had legislative representation at any point since 1989 are considered non-populist. We used the ParlGov database (Döring and Manow, 2021) to identify such parties. To classify any smaller parties still unaccounted for, we use the expert-based continuous measures of populism by POPPA (Meijers and Zaslove, 2020), VDem (Lührmann et al., 2020), GPS (Norris, 2019), and TAP (Timbro, 2019).
We classified parties as left, centre, or right using the following sources (in hierarchical order): PopuList (Rooduijn et al., 2020), CHES (Bakker et al., 2019), POPPA (Meijers and Zaslove, 2020), VDem (Lührmann et al., 2020), GPS (Norris, 2019), ParlGov, EES Voter Study (Schmitt et al., 2016), and TAP (Timbro, 2019). All continuous left–right measures were rescaled to range from 0 to 1, and all parties with a score below 0.42 were classified as left parties. All parties with a score above 0.65 were classified as right parties and the remaining parties were classified as centrist. Accordingly, each respondent in our sample can be classified as voting for a populist left, non-populist left, non-populist centrist, populist centrist, non-populist right, or populist right party (see Section C of Supplementary Appendix for the resulting classification of parties). We used voter intention—the party for which the respondent would vote ‘if the national election were held today’—to assign these values to the respondents.
Measuring precarity
Our main explanatory variable is precarity, and we measured its three dimensions. The first measure, which we label ‘financial insecurity’, refers to different forms of insecurity related to people’s personal finances. We use a selection from among the classic deprivation items developed by Peter Townsend (see Guio et al., 2016) that can be applied to both those ‘left behind’ and to broader segments of the population. These items (see Table 2) refer to the financial insecurity that individuals face, including obtaining necessary household items, having savings to cover unexpected expenses, accessing dental work, and having the capacity to replace essential goods. In line with the interpretation of items in the deprivation literature, we consider those who report wanting but not being able to afford these items to be in a financially precarious position. Further information regarding the construction of this measure is included in Section A of Supplementary Appendix.4
Measures of financial precarity and work-related precarity (precarity of tenure and precarity at work)
| Measure . | Items/questions . |
|---|---|
| Financial precarity | During the next year, how likely is it that there will be some periods when you don’t have enough money to cover the necessary expenses for your household? (FI1) I don’t have savings for unexpected financial expenses and cannot afford them (FI2) I do not have enough money to do all the recommended dental work (FI3) I do not have enough money to replace or repair broken electrical goods such as refrigerator or washing machine (FI4) |
| Precarity of tenure | How anxious are you about being dismissed without good reason? (PT1) Agree/disagree: I fear I might be fired in the near future (PT2) Agree/disagree: My total hours of paid employment are likely to decrease in the next six months (PT3) How likely it is that during the next year you will be unemployed and looking for work for at least a month? (PT4) |
| Precarity at work | Agree/disagree: I have freedom to take decisions in my work (PW1) Agree/disagree: I have a satisfactory balance between work and other activities in my life (PW2) Agree/disagree: My salary is fitting with my responsibilities (PW3) |
| Measure . | Items/questions . |
|---|---|
| Financial precarity | During the next year, how likely is it that there will be some periods when you don’t have enough money to cover the necessary expenses for your household? (FI1) I don’t have savings for unexpected financial expenses and cannot afford them (FI2) I do not have enough money to do all the recommended dental work (FI3) I do not have enough money to replace or repair broken electrical goods such as refrigerator or washing machine (FI4) |
| Precarity of tenure | How anxious are you about being dismissed without good reason? (PT1) Agree/disagree: I fear I might be fired in the near future (PT2) Agree/disagree: My total hours of paid employment are likely to decrease in the next six months (PT3) How likely it is that during the next year you will be unemployed and looking for work for at least a month? (PT4) |
| Precarity at work | Agree/disagree: I have freedom to take decisions in my work (PW1) Agree/disagree: I have a satisfactory balance between work and other activities in my life (PW2) Agree/disagree: My salary is fitting with my responsibilities (PW3) |
Measures of financial precarity and work-related precarity (precarity of tenure and precarity at work)
| Measure . | Items/questions . |
|---|---|
| Financial precarity | During the next year, how likely is it that there will be some periods when you don’t have enough money to cover the necessary expenses for your household? (FI1) I don’t have savings for unexpected financial expenses and cannot afford them (FI2) I do not have enough money to do all the recommended dental work (FI3) I do not have enough money to replace or repair broken electrical goods such as refrigerator or washing machine (FI4) |
| Precarity of tenure | How anxious are you about being dismissed without good reason? (PT1) Agree/disagree: I fear I might be fired in the near future (PT2) Agree/disagree: My total hours of paid employment are likely to decrease in the next six months (PT3) How likely it is that during the next year you will be unemployed and looking for work for at least a month? (PT4) |
| Precarity at work | Agree/disagree: I have freedom to take decisions in my work (PW1) Agree/disagree: I have a satisfactory balance between work and other activities in my life (PW2) Agree/disagree: My salary is fitting with my responsibilities (PW3) |
| Measure . | Items/questions . |
|---|---|
| Financial precarity | During the next year, how likely is it that there will be some periods when you don’t have enough money to cover the necessary expenses for your household? (FI1) I don’t have savings for unexpected financial expenses and cannot afford them (FI2) I do not have enough money to do all the recommended dental work (FI3) I do not have enough money to replace or repair broken electrical goods such as refrigerator or washing machine (FI4) |
| Precarity of tenure | How anxious are you about being dismissed without good reason? (PT1) Agree/disagree: I fear I might be fired in the near future (PT2) Agree/disagree: My total hours of paid employment are likely to decrease in the next six months (PT3) How likely it is that during the next year you will be unemployed and looking for work for at least a month? (PT4) |
| Precarity at work | Agree/disagree: I have freedom to take decisions in my work (PW1) Agree/disagree: I have a satisfactory balance between work and other activities in my life (PW2) Agree/disagree: My salary is fitting with my responsibilities (PW3) |
We also measured work-related precarity for the respondents who reported being employed. We used a multidimensional measure of precarity that includes indicators pertaining to the subjective insecurity in the tenure of work that are generally used to operationalize insecurity in voting (items PT1; PT2; PT4; PT4 in Table 2), as well as relevant measures of insecurity in working conditions as identified in the literature on job quality and precarity (Standing, 2011: 32; Leschke and Watt, 2014). These measures include autonomy at work (PW1), work–life balance (PW2), and perceived adequacy of income (PW3). Autonomy at work (PW1) is an operationalization of the fear of the worker vis-à-vis employers/managers, measured as a proxy of control (Standing, 2011: 32). Work–life balance (PW2) is an indicator of work–life balance that features in Standing’s (2011: 82) discussion of precarity, as well as being key to operationalize work insecurity (Kalleberg, 2018). Perceived adequacy of income (PW3) features in the discussion of income precarity (Standing, 2011: 10) and in work-insecurity literature (Kalleberg, 2018).
Using a similar list of indicators and exploratory factor analysis, Antonucci et al. (2021) identified two dimensions of work-related precarity in the Netherlands and France that correspond to precarity of tenure and precarity at work. This study tested this result in a larger 10-country dataset, we checked the cross-country invariance of our measurement model and used confirmatory factor analysis to produce respondent-level estimates.
In another validation step, we explored the correlations among the three aspects of precarity and their potential predictors. Precarity depends on the respondents’ personal circumstances, including their current activity status, local unemployment risks, education, and income; however, their precarity cannot be reduced to their circumstances. As Section A in Supplementary Appendix shows, we can only explain about 27 per cent of the variation in financial precarity, 14 per cent in precarity of tenure, and 11 per cent in precarity at work.
The three aspects of precarity reflect three different ways in which a person may experience insecurity. Indeed, while our measures are correlated among themselves and depend on similar covariates, the coefficients for the same predictors vary significantly across the models explaining different aspects of precarity. For instance, the local unemployment rate is most closely correlated with precarity of tenure, while income and home ownership seem to have the strongest link to financial precarity (see Section A in Supplementary Appendix).
An overview of the analysis
In our first step, we focused on the relationship between voters’ insecurity and voters’ populist attitudes. As these attitudes are precursors of voting and abstract from country-specific variations, they are better suited for cross-national comparisons than behaviour-based measures. All models used in this step were linear and controlled for age, a binary indicator for women, respondents without a bachelor’s degree, respondents with a doctorate, home ownership, and their quantile of income distribution. In addition, the models for financial insecurity controlled for objective labour market status. We estimated the parameters of these models in country-specific samples and as a pooled sample, with the latter also including country-fixed effects. We removed all cases with missing values and, to make the estimates comparable across countries, scaled and centred both dependent and independent variables prior to estimation.
In our second step, we used voter intention to test whether the relationship found between insecurity and populist attitudes was confirmed during voting. We estimated multinomial logistic regressions based on the respondents’ vote intentions, classifying them into the six groups (outlined above in the section ‘measuring populism’), using the same control variables. We excluded Romania from this analysis because this country sample does not include respondents who report their intention to vote for populist parties. As before, we removed observations with missing values, including the respondents who did not state their vote intentions.
Findings
Insecurity and populist attitudes
Figure 2 illustrates the cross-national and cross-regional distribution of the measures of populist attitudes, financial insecurity, and precarious employment. On a descriptive level, it is interesting to note that the higher insecurity values occur in Southern and Eastern Europe, which, as the figure reveals, is also where the highest average levels of populism are found.

Geospatial distribution of economic insecurity and populist attitudes (weighted averages)
On the individual level, we estimate several linear regressions with populist outlook (the attitudes typically associated with the populist vote) as the dependent variables. Such analyses allow us to test whether people experiencing precarity—especially with higher financial precarity and/or work-related precarity—are more likely to have a populist outlook, which may or may not translate into voting for populist parties (Hypothesis 1) (Figure 3).5

Precarity and populist attitudes. Ordinary least squares estimates with 95% confidence intervals. Standard errors are robust. The independent and dependent variables have been centred and scaled before the estimation. See Section E in Supplementary Appendix for the complete set of estimates.
There is a positive significant association between financial insecurity and all dimensions of populist outlook across our case study countries, although this link is somewhat weaker for the Manichaean outlook. For example, while the average coefficient of the effect of financial insecurity on people-centrism, anti-elitism, and combined populism score is about 0.25 (one standard deviation difference in financial insecurity is associated with approximately 0.25 standard deviation difference in the dependent variables), it is only about 0.07 for the Manichaean outlook.
The estimates also show a significant, albeit weaker, association between populist outlook and precarity at work when we consider both dimensions of precarity (precarity at work and precarity of tenure) in the same equation. If we only use one aspect of work precarity at a time, they both have significant positive coefficients. Once we control for precarity at work, the estimated effect of precarity of tenure becomes negligible. Our additional estimates with the interaction between precarity at work and precarity of tenure (see Section E in Supplementary Appendix) suggest that while the main effect of precarity of tenure is negligible, it tangibly reinforces the association between precarity at work and populist outlook and seems to weaken the association between financial insecurity and populist outlook. This suggests that while employment-related precarity affects populist attitudes, the insecurity of work conditions appears to have a stronger effect than the insecurity of one’s tenure. Overall, these findings confirm a positive and strong association between subjective insecurity (in particular, financial precarity, and precarity at work) and the populist outlook of voters.
The effect of precarity on populist voting
In the second step of the analysis, we explored whether populist outlook, when linked to subjective insecurity, translated into populist voting. To this end, we built and estimated models based on the measures of voting behaviour (voter intention) as dependent variables. These analyses helped determine the possible implications of financial precarity and individual work-related precarity for populist voting (Hypothesis 2).
To analyse vote choice, we built and estimated multinomial logistic regressions. As described earlier, we classified all political parties as populist left, populist centre, populist right, non-populist left, non-populist right, or non-populist centre (see Section C of Supplementary Appendix for details).
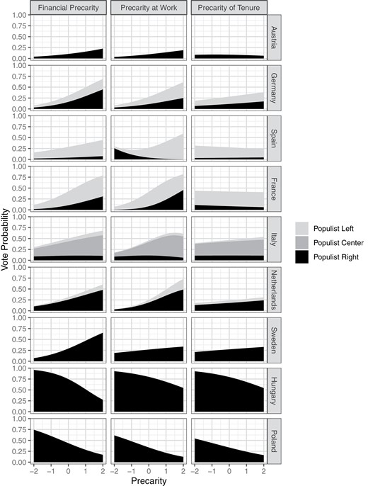
The complete estimate tables for these regressions can be found in Section F of Supplementary Appendix, while we here present out-of-sample predictions for these models (Figure 4) and the average marginal effects of financial insecurity on the probability of voting for a particular group of parties (Figure 5). These figures show a positive significant association between financial insecurity and the probability of voting for populist parties in all countries except Poland and Hungary. According to our estimates, a difference between the first quartile of the distribution of financial insecurity and its third quartile, all else being equal, corresponds to approximately 17–20 percentage point difference, in the probability of casting a populist party vote in Germany, France, and Sweden. For reference, the two leading parties in these countries were separated by approximately 8–12 per cent of the valid votes. The effect is weaker, albeit still significant, in Austria, Italy, Spain, and the Netherlands. This difference in financial insecurity corresponds to approximately 4–10 percentage point difference in the populist party vote.

Out of sample predictions of the probabilities of voting for populist left and populist right parties. Predictions of multinomial logit models. Horizontal axes show the standardized values of the precarity measures: 1 unit on this axis is 1 standard deviation in the subsample. All other variables are set to their means or modes.

Average marginal effect of precarity on the probabilities of voting for populist parties
The results for the effect of work-related precarity are similar but weaker than those for financial precarity (the corresponding statistics are negative in Hungary and Poland; in other cases, they range between 0 and 4 percentage points for precarity of tenure and 1.5 and 12 for precarity at work). Please note that these two variables were included in the same regression and, as they are positively correlated, we may underestimate their full effects. As with the analysis of populist outlook, we estimate additional models with interaction terms. The models suggest that precarity of tenure reinforces the association between precarity at work and populist voting, most visibly in Austria, Italy, and Sweden.
An examination of the average marginal effects confirms our conclusions (see Figure 5). These statistics were produced by averaging the partial effects of precarity in the sample and, thus, represent the typical effects of these variables in the data. The estimated average marginal effect of financial insecurity on the vote for populist parties—left, right, and centre—is positive and statistically significant in almost all cases.6 As before, the main exceptions to this general trend are Poland and Hungary, where the estimates are significant but negative. Given that there is, regardless, a positive relationship between populist attitudes and precarity in these countries, we speculate that the different results in the analyses of vote choice occur due to peculiarities on the supply side of the political systems: the major populist parties (PiS in Poland, and Fidesz and KDNP in Hungary) were in government in their respective countries.
The association between the populist vote and insecurity is consistent across RPR and RPL parties, except in Italy, where the average marginal effect of financial insecurity on the vote for the populist right (Lega and Fratelli d’Italia) seems to be around zero. A cursory examination of the correlations between the vote choice and financial insecurity by region suggests that the major contributor to this non-effect is Lega’s regional stronghold in the Northwest, where higher financial insecurity is associated with a slightly lower vote probability for Lega. However, other factors may also affect this relationship. Italy has the highest number of nationally relevant populist parties, which are, nevertheless, ideologically very dispersed. In fact, Italy is the only country that has two relevant non-radical populist parties (FI and M5S), which we believe affects party competition. The presence of RPL parties may have had a similar effect on the average marginal effect of populist parties in Spain, but it is hard to make a similar argument about Germany, France, and the Netherlands, where RPR parties also face competition from RPL parties.
Finally, we can make some observations about the estimated coefficients for other covariates. Consistent with Rooduijn et al. (2017), our estimates suggest that populist left voters are more similar to other left voters than populist right voters and that populist right voters are more similar to other right voters than populist left voters. The estimates show that female voters are more likely to vote for populist left parties than for populist right parties and that well-educated voters—with higher education or, more so, with advanced degrees—are more likely to vote for the populist left, as are students. Furthermore, the lower a voter’s income is, the higher the probability they will vote for RPL than for RPR. The same differences are observed in the profiles of those who vote for non-populist left and right parties.
Discussion
Research into populist voting is increasingly concerned with exploring the effect of labour market insecurity on a subjective level and attempting to account for the insecurity of broader segments of the population beyond the classic ‘left behind’ groups (Gidron and Hall, 2017; Kurer and Palier, 2019; Antonucci et al., 2021). In this article, we have discussed the proposition that precarity could explain both populist outlook (Hypothesis 1) and voting choices (Hypothesis 2) in 10 European countries. Overall, our research shows that precarity, conceptualized as work and financial subjective insecurity, influences, at least partially, both populist outlook and voting for RPR and RPL parties. Thus, the article makes several contributions to the debate on insecurity in voting clarifying which type of insecurity is associated with populist views (symbolic link) and populist voting (instrumental link).
First, this study tests a multidimensional operationalization of precarity that builds on the sociological literature (Standing, 2011) and operationalizes work-related and financial precarity to explore populist support: both in the form of populist outlook and voting for broad segments of the population. Our investigation contains a multidimensional measure of precarity that addresses the lack of indicators for subjective insecurity in voting (Marx and Picot, 2020). We also included two dimensions of work-related precarity (precarity of tenure and precarity at work) and one of financial precarity that was, until now, entirely missing. The introduction of these indicators reflects the need to transpose sociologically relevant issues into the political realm, including insecurity emerging from the quality of work (issues of autonomy, work–life balance, intensification, etc.) (see Gallie et al., 2017) and the independent and combined roles that financial insecurity has in the precarity of Europeans.
Importantly, this study also offers a more holistic understanding of populist support that, in line with the framework outlined above, considers the symbolic link between insecurity and populist outlook, not just voting. Our analysis shows a positive significant association between financial insecurity and the dimensions of populist outlook across our case study countries, with a weaker association for Manichaean attitudes. We explain this discrepancy with reference to the fact that the ideology of insecurity described in our theoretical framework would be more directly connected to the elements of populist outlook pertaining to the divide between the elite and the people, rather than to a dualistic view of society. Work-related insecurity is also associated with a populist outlook, although we found mixed results on the effect of the precarity of tenure. The findings show that financial insecurity and precarity at work may promote the diffusion of populist attitudes in the society.
Our dataset includes a selection of 10 European countries, with significant variation in the types of political systems and welfare state systems, although our case study’s selection is lacking a country from the Liberal welfare regime. Although the association between populist outlook and insecurity is consistently positive, its strength varies across countries and parties. We also find positive and significant associations between precarity and voting for the RPR and RPL in almost all our cases (8 of 10). Financial precarity is clearly linked with populist voting. While work-related precarity is also linked with populist voting, the results for the same eight countries indicated that precarity at work has a greater effect on populist voting than precarity of tenure. In most countries, the positive association between populist attitudes and precarity translates into a positive association between the populist vote and precarity, although RPR parties in Poland, Hungary, and, to a degree, Italy are exceptions. One, albeit not the only, explanation for these exceptions is that RPR parties have been in power for some time in these countries, all the while promoting neoliberal reforms and limiting social insurance. This is consistent with the idea that populist voters are less likely to support incumbent populist and non-populist parties, as evidenced in other studies (Hieda, Zenkyo and Nishikawa, 2021; Jungkunz, Fahey and Hino, 2021). This finding suggests that the instrumental link between insecurity and voting is less pronounced than the symbolic link between insecurity and voting and that it depends on the political context. It also indicates that the link between precarity and populism could be missed if scholars examine only populist voting without considering the ideational diffusion of populist views.
Insecurity about the tenure of work tends to attract significant interest in explorations of insecurity in populism (Cohen, 2017; Rovny and Rovny, 2017; Mutz, 2018; Abou-Chadi and Kurer, 2021; Sipma, Lubbers and Spierings, 2023). However, our results show that the biggest effect of insecurity in relation to both populist outlook and voting comes from financial insecurity and insecurity in working conditions rather than the precarity of job tenure. The latter seems to have a conditioning effect on the association between the other two aspects of precarity and populism, but its direct relation to populism is relatively weak. This is a highly relevant finding because it shows that the seeds of populist support are to be found in the voters’ everyday experiences of insecurity in relation to their finances and, in particular, their working conditions, rather than in the more niche form of precarity concerning whether one will be able to keep one’s job. An important limitation of our study relates to fact that our survey is online generated; despite the techniques utilized to improve the representativeness of our sample, we think that future studies using probability sampling datasets (e.g. the European Social Survey) are needed to confirm the trends we have found and we hope that our work contributes to the expansion of the measures of insecurity used in relation to voting in such datasets.
Furthermore, we suspect that the institutional changes in the labour market and welfare states across Europe since the 2008 economic crisis have influenced the financial insecurity of voters and their working conditions, a suggestion Gidron and Hall (2017) also made, which we could not explore in this article as this conjecture needs to be confirmed using multi-level studies factoring in the role of economic factors and welfare state institutions. Despite these limitations, our study indicates that future analyses should include broader interpretations and operationalizations of insecurity in relation to political factors that go beyond insecurity of tenure and that are relevant to potentially large segments of society experiencing work and financial insecurity. Furthermore, future studies could build on the integration between sociological and political research on populism in this article by including an investigation of not only the instrumental voting mechanism towards RPR and RPL but also of the symbolic link that connects socio-economic variables to people-centrism and anti-elite sentiments.
Acknowledgement
We thank Susan Banducci for her helpful suggestions and Julie Davies for proofreading the manuscript.
Funding
This work was supported by the Volkswagen Foundation [PRECEDE project, ref. 96999].
References
Andrei Zhirnov is Lecturer in Quantitative Political Science at the University of Exeter. Dr. Zhirnov is a comparativist applying quantitative methods to study political institutions and behaviour. His work has appeared in such outlets as the American Journal of Political Science, Journal of Political Institutions and Political Economy, Electoral Studies, Political Analysis, and Comparative Politics.
Lorenza Antonucci is Associate Professor at the University of Birmingham and recipient of the German Kennedy Memorial Fellowship at the Minda de Gunzburg Center for European Studies at Harvard University. Dr. Antonucci’s research on inequality and insecurity has been published in international journals such as Current Sociology, Competition and Change, Sociological Research Online, and the Journal of Youth Studies. She has authored the monograph ‘Student Lives in Crisis: Deepening Inequality in Times of Austerity’ and co-edited ‘Young People and Social Policy in Europe’.
Jan Philipp Thomeczek is Research Associate and Doctoral student at the Institute for Political Science at the University of Münster. He is a political scientist studying populism and radical parties in democratic politics. His work has been published in outlets such as Representation, Swiss Political Science Review, Journal of Theoretical Social Psychology.
Laszlo Horvath is Lecturer in Political Communication at Birkbeck, University of London. His current research is in the areas of political communication, digital (civic) technology, and gender using quantitative and computational methods, and he is an expert in the analysis of online panel data. Dr. Horvath’s research appears in outlets such as the Journal of Experimental Political Science, Competition and Change, Sociological Research Online, and Journal of Elections, Public Opinion and Parties.
Carlo D’Ippoliti is Professor of Political Economy at the Department of Statistical Sciences of Sapienza University of Rome. Dr. D’Ippoliti has coordinated or taken part in a number of research projects on economic inequality, gender inequality, discrimination and social inclusion for the European Commission, the Fundamental Rights Agency of the EU, and the Italian Government. His research appears in outlets such as the American Journal of Economics and Sociology, Journal of Behavioral and Experimental Economics, Journal of Economic Surveys, Applied Economics, PSL Quarterly Review, and Moneta e Credito.
Christian Alexander Mongeau Ospina is a statistician at the Food and Agriculture Organization of the United Nations and formerly a Research Fellow at Sapienza University of Rome. He is an expert in economic analysis, econometrics, programming, and has a demonstrated history of working in academic institutions, intergovernmental organizations, and the private sector. Dr. Mongeau Ospina’s research has been published in outlets such as Economic Modelling, Journal of Economic Policy Reform, Energy Policy, and Energy Economics.
André Krouwel is Associate Professor of Comparative Politics and Communication at Vrije Universiteit Amsterdam. Dr. Krouwel’s research focuses on political parties, elections, voting behaviour, public opinion, populism, Euroscepticism, extremism (versus political moderation), and conspiracy beliefs. His work appears in outlets such as Nature Human Behaviour, European Political Science Review, Journal of European Public Policy, Political West European Politics, Political Psychology, Party Politics, and Government and Opposition, and he also authored monographs ‘Party transformations in European democracies’ and ‘Europe: Continent of Conspiracies: Conspiracy Theories in and about Europe’.
Norbert Kersting is Professor and Chair of Comparative Political Science – Municipal and Regional Politics at the Institute for Political Science at the University of Münster. Prof. Dr. Kersting has his longstanding expertise on online participation and survey techniques. His research appears in a number of scientific journals, and he also authored multiple monographs, including ‘Reforming local government in Europe: Closing the gap between democracy and efficiency’, ‘Electronic democracy’, ‘Electronic voting and democracy: a comparative analysis’, ‘Urbane Innovation’, and ‘Sub-municipal governance in Europe: decentralization beyond the municipal tier’.
Footnotes
The four areas of objective labour market disadvantage used in Emmenegger, Marx and Schraff (2015) are as follows: unemployment, involuntary part-time work, temporary employment, and low-wage work.
Note that the original survey was also administered in Belgium, Denmark, and Portugal. but we removed these three case studies due to the lower sample size in these countries.
Supplementary Appendix includes a breakdown of our sample by major demographic group compared against the census benchmarks.
We used the ‘lavaan’ package in R (Rosseel, 2012).
Here, given the limited coverage of the work-related precarity questions, we use separate samples to estimate models with financial insecurity and those with work-related precarity. As a robustness check, we included all three dimensions of precarity in the same regressions and reported the estimation results (on a smaller sample) as models z1 and z2 in Sections E and F of Supplementary Appendix.
Section G in Supplementary Appendix contains figures with the marginal effects of precarity on the probabilities of voting for other parties.
Author notes
Andrei Zhirnov and Lorenza Antonucci First co-authors of this article.